• Предмет: Физика
  • Автор: zandarut
  • Вопрос задан 3 года назад

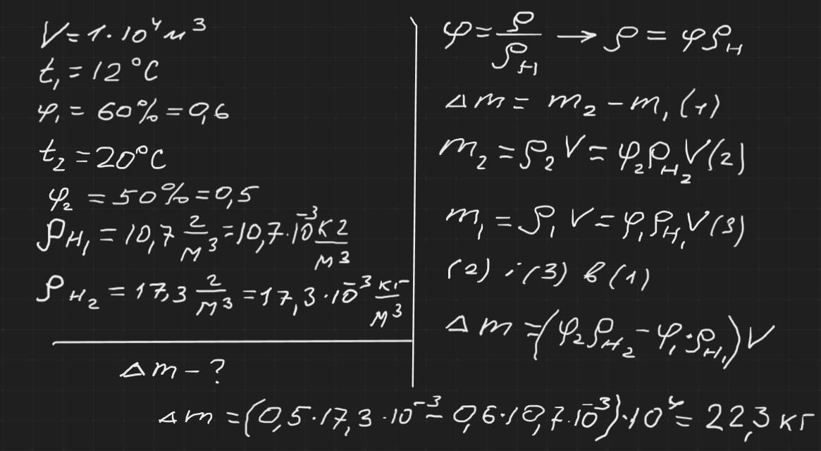
В приміщення необхідно подати 10000м 3 повітря при температурі 20 0 С і вологості 50%, забираючи
його знадвору при температурі 12 0 С і вологості 60%. Скільки води необхідно додатково випарувати в
приміщенні?

Ответы

Ответ дал: zybkov1950
0

Відповідь: 22,3 кг

Пояснення:

Приложения:
Вас заинтересует