• Предмет: Физика
  • Автор: stecinaveronika
  • Вопрос задан 3 года назад

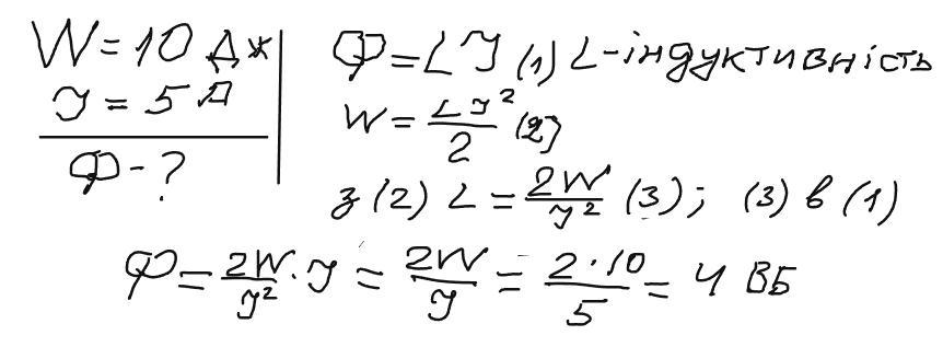
енергія магнітного поля 10 дж, сила струму 5А. визначити магнітний потік

Ответы

Ответ дал: zybkov1950
1

Відповідь: 4 Вб

Пояснення:

Приложения:
Вас заинтересует