Ответы
Ответ дал:
1
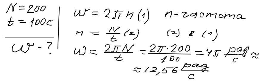
Відповідь: ≈ 12,56 рад/с
Пояснення:
Приложения:

Вас заинтересует
2 года назад
2 года назад
7 лет назад
7 лет назад
9 лет назад