• Предмет: Алгебра
  • Автор: kolmasa32
  • Вопрос задан 3 года назад

70 баллов
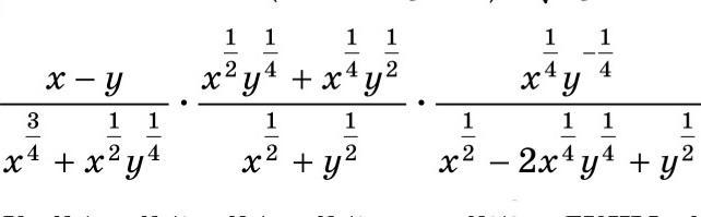
упростите выражение

Приложения:

Ответы

Ответ дал: Universalka
1

\displaystyle\bf\\\frac{x-y}{x^{\frac{3}{4} } +x^{\frac{1}{2} } y^{\frac{1}{4} } } \cdot\frac{x^{\frac{1}{2} } y^{\frac{1}{4} }+x^{\frac{1}{4} }y^{\frac{1}{2} }}{x^{\frac{1}{2} } + y^{\frac{1}{2} } } \cdot\frac{x^{\frac{1}{4} }y^{-\frac{1}{4} }}{x^{\frac{1}{2} } -2x^{\frac{1}{4} } y^{\frac{1}{4} }+y^{\frac{1}{2} }  } =

\displaystyle\bf\\=\frac{(x^{\frac{1}{2} } -y^{\frac{1}{2} } )(x^{\frac{1}{2} }+y^{\frac{1}{2} } ) }{x^{\frac{1}{2} } (x^{\frac{1}{4} } +y^{\frac{1}{4} }) } \cdot\frac{x^{\frac{1}{4} } y^{\frac{1}{4} }(x^{\frac{1}{4} }+y^{\frac{1}{4} })}{x^{\frac{1}{2} } + y^{\frac{1}{2} } } \cdot\frac{x^{\frac{1}{4} }}{(x^{\frac{1}{4} } - y^{\frac{1}{4} })^{2} \cdot y^{\frac{1}{4} }  } =

\displaystyle\bf\\\frac{(x^{\frac{1}{2} } -y^{\frac{1}{2} })\cdot y^{\frac{1}{4} }}{x^{\frac{1}{4} } } \cdot\frac{x^{\frac{1}{4} } }{(x^{\frac{1}{4} }-y^{\frac{1}{4} })^{2} \cdot y^{\frac{1}{4} } } =\frac{(x^{\frac{1}{4} }-y^{\frac{1}{4} } )(x^{\frac{1}{4} }+ y^{\frac{1}{4} } )}{(x^{\frac{1}{4} } -y^{\frac{1}{4} } )^{2} } =\\\\\\=\frac{x^{\frac{1}{4} }+x^{\frac{1}{4} }}{x^{\frac{1}{4} } -y^{\frac{1}{4} } }

Вас заинтересует