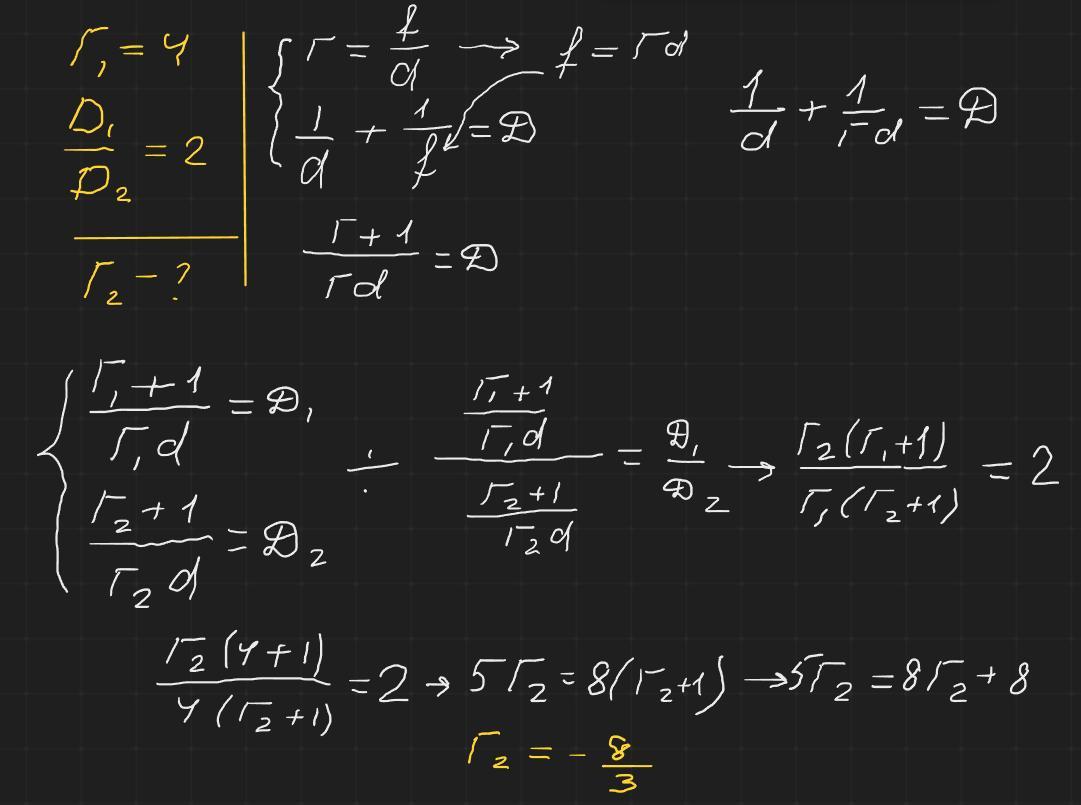
Лінза дає дійсне зображення предмета,
збільшене в 4 рази. Яким буде збільшення предмета, якщо замість лінзи поставити іншу, з оптичною силою, меншою в 2 рази?
Ответы
Ответ дал:
1
Відповідь: - 2
Пояснення: У другому випадку зображення уявне збільшене у 2 рази
Приложения:

Вас заинтересует
2 года назад
2 года назад
2 года назад
7 лет назад