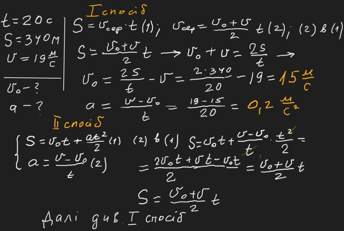
потяг рухається під ухил. пройшов за 20с шлях 340м і розвинув швидкість 19м/с. з яким прискоренням рухався потяг і яка була початкова швидкість
Ответы
Ответ дал:
3
Відповідь: 0,2 м/с² 15 м/с
Пояснення:
Приложения:


Вас заинтересует
2 года назад
2 года назад
2 года назад
2 года назад
7 лет назад
7 лет назад
9 лет назад