Знайдіть швидкість точок земного екватора, обумовлену добовим обертанням Землі. З якою швидкістю й куди повинен летіти літак поблизу екватора, щоб сонце на небi для нього
"зупинилося"?
Ответы
Ответ дал:
3
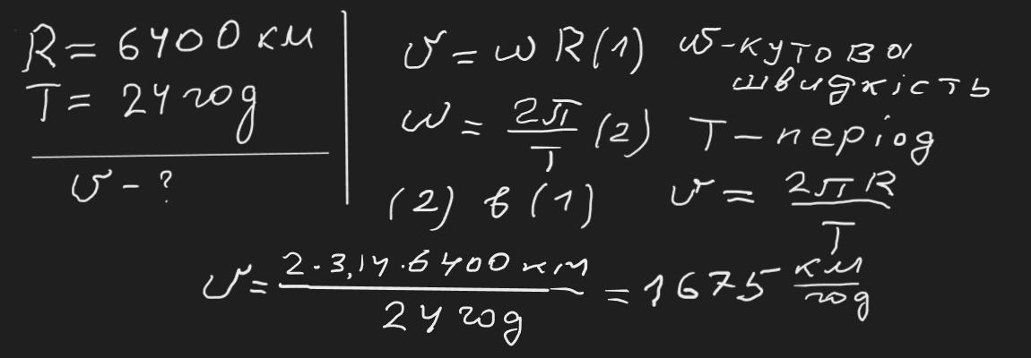
Відповідь: швидкість точок земного екватора ≈ 1675 км/год. З такою швидкістю зі сходу на захід повинен летіти літак поблизу екватора, щоб сонце на небi для нього "зупинилося"
Пояснення:
Приложения:

groin37:
харош ,просто ліпший
Вас заинтересует
2 года назад
2 года назад
7 лет назад
7 лет назад
9 лет назад
9 лет назад