• Предмет: Алгебра
  • Автор: zxchugarka
  • Вопрос задан 3 года назад

ребята, нужна ваша помощь на три задания. дам нормально баллов ​

Приложения:

Ответы

Ответ дал: Пеппер
1

Ответ:

на фото

Объяснение:

Приложения:
Ответ дал: p15
0

Ответ:

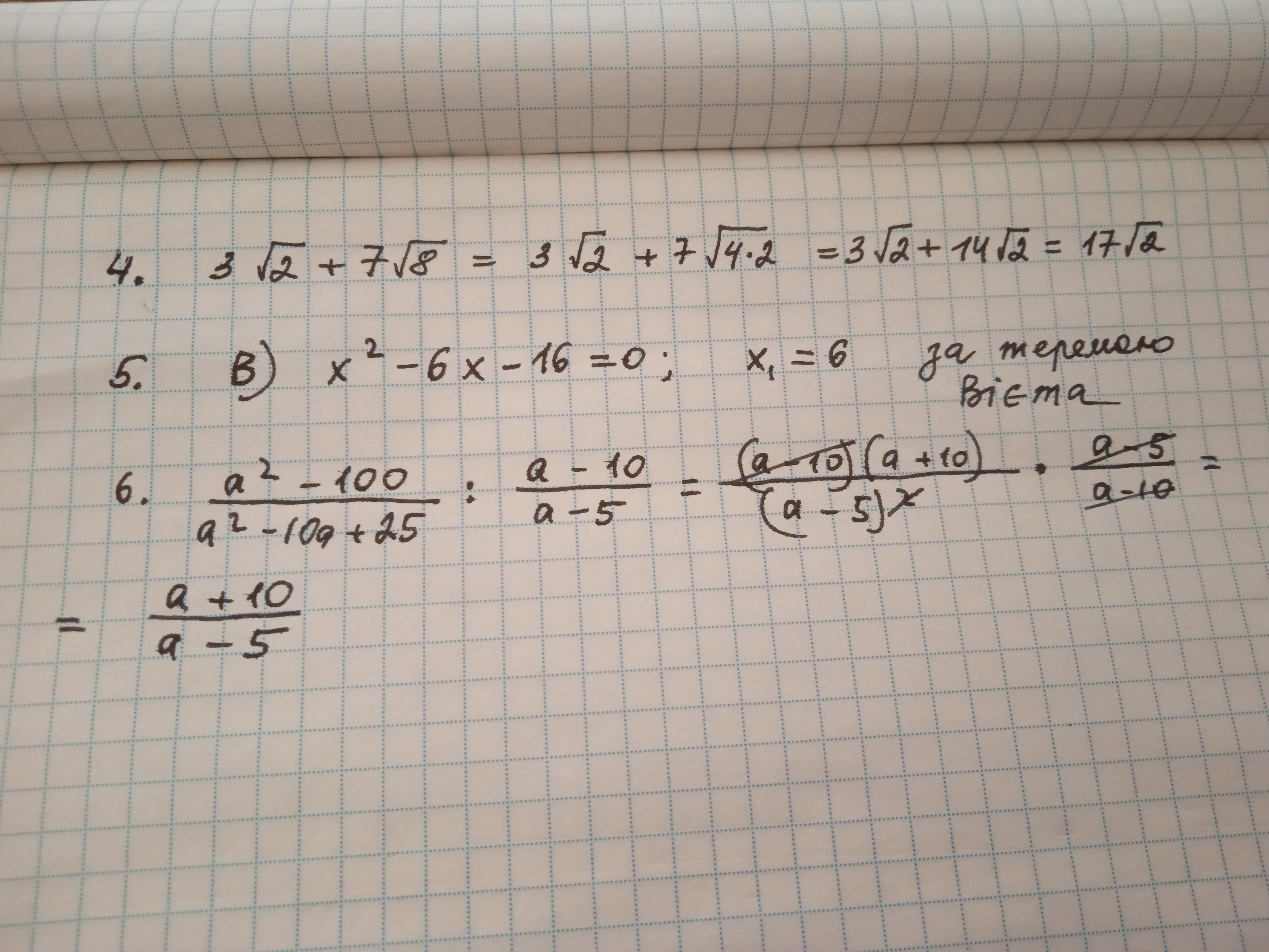
4. 3√2+7√8=3√2+14√2=17√2 (В)

5. x1+x2 =-b (в уравнении вида x²+bx+c=0) - (В)

6. \frac{a^{2}-100}{a^{2}-10a+25}:\frac{a-10}{a-5} =\frac{(a-10)(a+10)}{(a-5)^{2}}*\frac{a-5}{a-10} =\frac{a+10}{a-5} - (A)

Объяснение:

Вас заинтересует