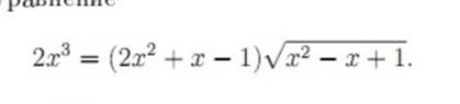
Решить уравнение.. ........
10 класс.
Приложения:

antonovm:
1 и ( -1 -sqrt(13)) /6 ; хороший пример , подождём школьников ? Может решат ?
Ответы
Ответ дал:
2
Ответ:
...................................................................
Объяснение:
Приложения:

Вас заинтересует
2 года назад
2 года назад
2 года назад
7 лет назад
7 лет назад
9 лет назад
9 лет назад