Прошу, помогите...
Как это решать?
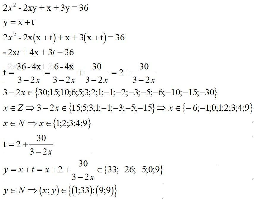
2x² - 2xy + x + 3y = 36
Togiden1:
Решить уровнение в натуральных числах
х=9ж
в знак уважения вашей аватарке, разместил ответ
Ответы
Ответ дал:
3
Відповідь:
во вложении
Пояснення:
Приложения:

Ответ дал:
1
Відповідь:(9;9); (1;33)
#############
Приложения:

Вас заинтересует
2 года назад
2 года назад
2 года назад
7 лет назад
9 лет назад