• Предмет: Алгебра
  • Автор: rostik2009martt
  • Вопрос задан 3 года назад

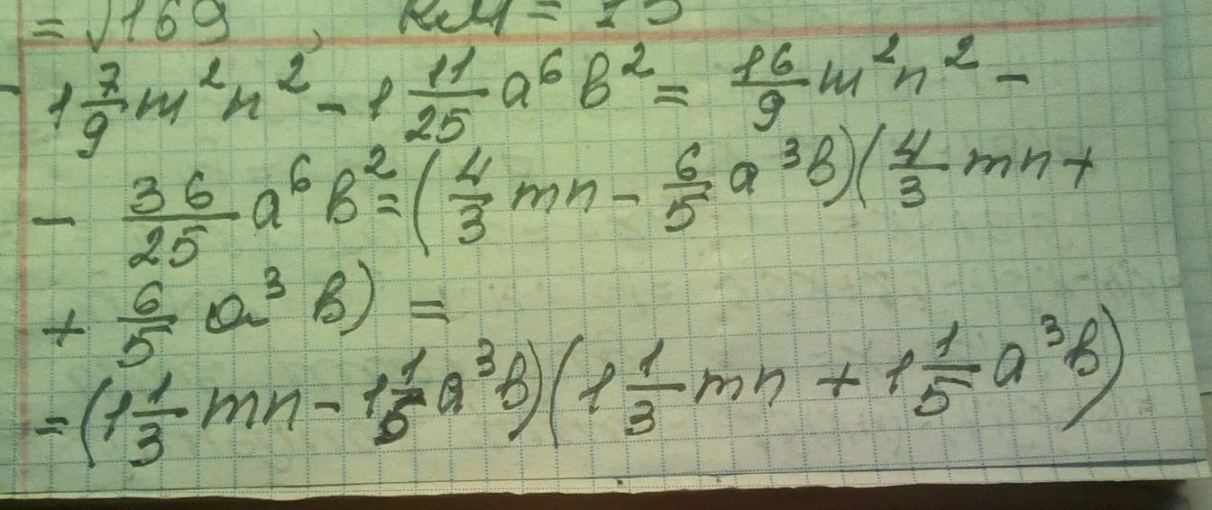
розкласти на множники 1 7/9 m^2n^2 -1 11/25 a^6b^2

Ответы

Ответ дал: manyny06
1

Ответ:

решение смотри на фотографии

Приложения:
Вас заинтересует