ДАЮ 15 БАЛОВ
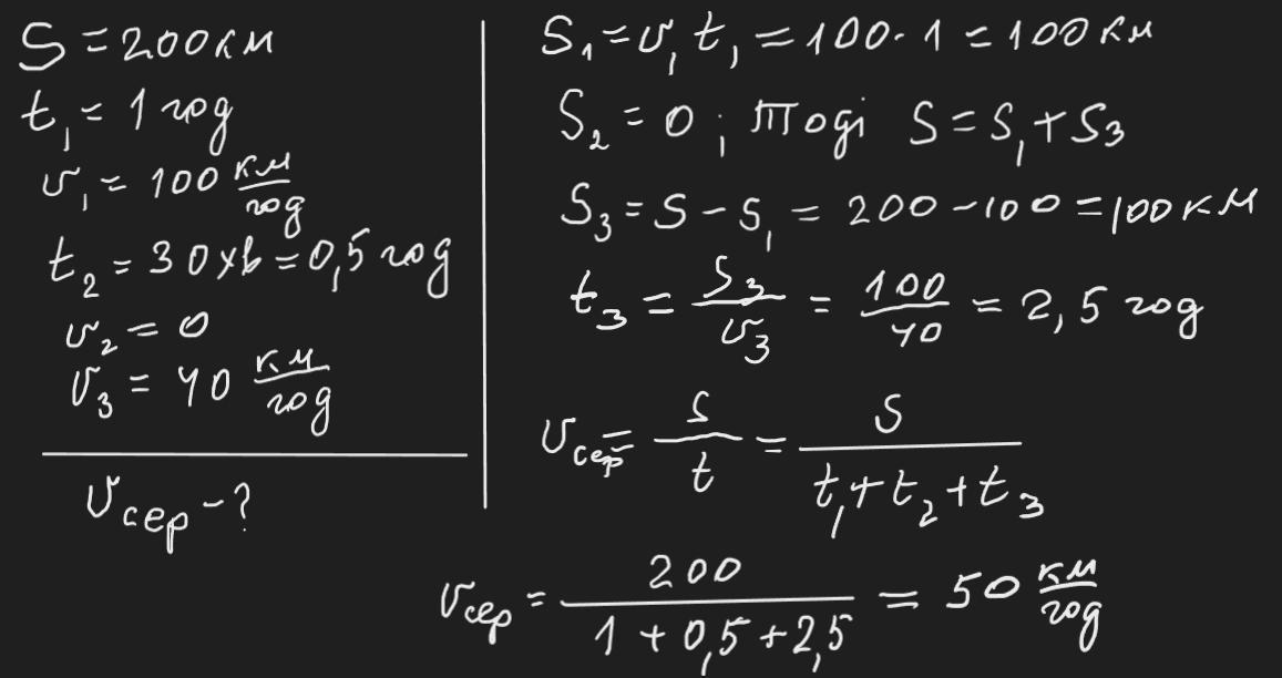
Потяг подолав шлях s = 200 км. Упродовж t1 = 1 год він рухався зі швидкістю v1 = 100 км/год, потім зробив зупинку на час t2 = 30 хв. Решту шляху потяг ішов зі швидкістю v3 = 40 км/год. Яка середня швидкість руху потяга?
Ответы
Ответ дал:
1
Відповідь: 50 км/год
Пояснення:
Приложения:

Вас заинтересует
2 года назад
2 года назад
7 лет назад
7 лет назад
9 лет назад