• Предмет: Алгебра
  • Автор: junusshalievay
  • Вопрос задан 3 года назад

Помогите решить и если можете объясните пожалуйста
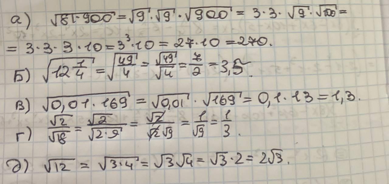
Тема: квадратные корни

Приложения:

Ответы

Ответ дал: yevheniiavz
1

в е) упростить и вычислить ничего нельзя. Разве что высчитать приблизительное значение.

Приложения:
Ответ дал: almansurmuhamet27
1

Ответ:

Объяснение:

a) v81*900=270

B)v0,01*169= 0

Вас заинтересует