• Предмет: Физика
  • Автор: iva22392
  • Вопрос задан 3 года назад

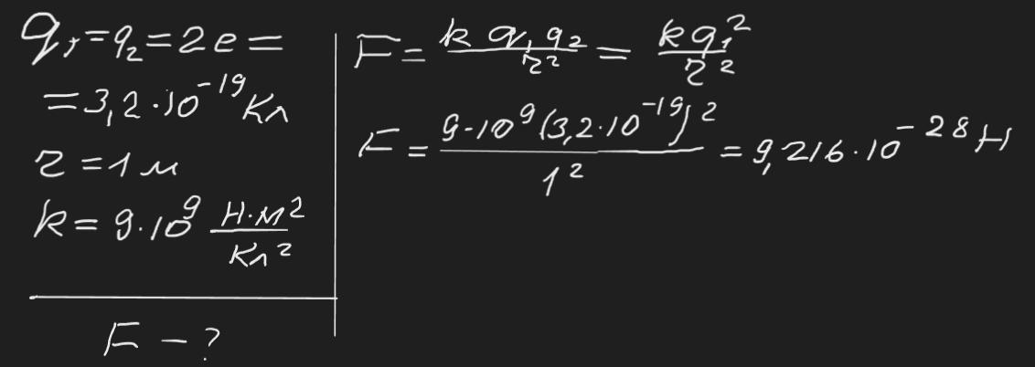
2.Обчисліть силу взаємодії між двома ядрами гелію, які знаходяться на відстані 1 м

Ответы

Ответ дал: zybkov1950
1

Відповідь:  9,216·10⁻²⁸ Н

Пояснення:

Приложения:
Вас заинтересует