• Предмет: Физика
  • Автор: iva22392
  • Вопрос задан 3 года назад

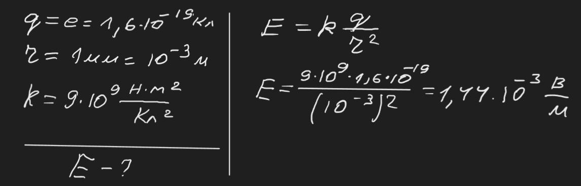
Обчислити напруженість електричного поля, яку створює електрон на відстані 1 мм

Ответы

Ответ дал: zybkov1950
1

Відповідь: 1,44 мВ/м

Пояснення:

Приложения:
Вас заинтересует