• Предмет: Алгебра
  • Автор: ledive45
  • Вопрос задан 3 года назад

Розкладання на множники

Приложения:

Ответы

Ответ дал: iva22392
0

Відповідь:

Пояснення:

Приложения:
Ответ дал: MuhammadGulu
2

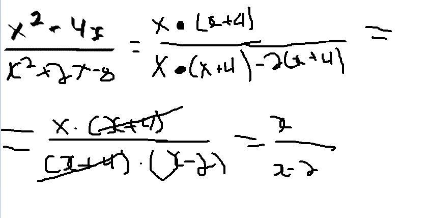
6)  \:  \:  \:  \:  \:  \:  \:  \:  \:  \:  \:  \:  \:  \:  \:  \:  \:  \:  \:  \:  \:  \:  \:  \:  \:  \:  \:  \:  \:  \:  \:  \:  \:  \:  \:  \:  \:  \:  \:  \:  \:  \:  \:  \:  \:  \:  \:  \:  \:  \:  \:  \:  \:  \:  \:  \:  \:  \:  \:  \:  \:  \:  \:  \:  \:  \:  \:  \:  \:  \:  \:  \:  \: \\  \frac{ {x}^{2} + 4x }{ {x}^{2}  + 2x - 8}  =  \frac{x(x + 4)}{(x - 2)(x + 4)}  =  \frac{x}{x - 2}

3) \:  \:  \:  \:  \:  \:  \:  \:  \:  \:  \:  \:  \:  \:  \:  \:  \:  \:  \:  \:  \:  \:  \:  \:  \:  \:  \:  \:  \:  \:  \:  \:  \:  \:  \:  \:  \:  \:  \:  \:  \:  \:  \:  \:  \:  \:  \:  \:  \:  \:  \:  \:  \:  \:  \:  \:  \:  \:  \:  \:  \:  \:  \:  \:  \:  \:  \:  \:  \:  \:  \:  \:  \:  \:  \:  \:  \\  \frac{ {x}^{2} + 9x + 14 }{ {x}^{2} + 7x }  =  \frac{(x + 7)(x + 2)}{x(x + 7)}  =  \frac{x + 2}{x}

5) \:  \:  \:  \:  \:  \:  \:  \:  \:  \:  \:  \:  \:  \:  \:  \:  \:  \:  \:  \:  \:  \:  \:  \:  \:  \:  \:  \:  \:  \:  \:  \:  \:  \:  \:  \:  \:  \:  \:  \:  \:  \:  \:  \:  \:  \:  \:  \:  \:  \:  \:  \:  \:  \:  \:  \:  \:  \:  \:  \:  \:  \:  \\  \frac{ {x}^{2} - 16 }{32 - 4x -  {x}^{2} }  =   \frac{ - ( {x}^{2} - 16 )}{(4 - x)(8  +  x)}  =  \\  \frac{(4 - x)(4 + x)}{(4 - x)(8 + x)}  =  \frac{4 + x}{8 +  x }

6) \:  \:  \:  \:  \:  \:  \:  \:  \:  \:  \:  \:  \:  \:  \:  \:  \:  \:  \:  \:  \:  \:  \:  \:  \:  \:  \:  \:  \:  \:  \:  \:  \:  \:  \:  \:  \:  \:  \:  \:  \:  \:  \:  \:  \:  \:  \:  \:  \:  \:  \:  \:  \:  \:  \:  \:  \:  \:  \:  \:  \:  \:  \:  \:  \:  \:  \:  \:  \:  \:  \:  \:  \\  \frac{4 {n}^{2} - 9n + 2 }{2 + 9n -  {5n}^{2} }  =  \frac{(n - 2)(4n - 1)}{ - (n - 2)(5n + 1)}  =  \\  =  \frac{4n - 1}{ - 5n - 1}

Вас заинтересует