• Предмет: Математика
  • Автор: yroslavvivsynikvital
  • Вопрос задан 3 года назад

Варіант 2
1. Сторони паралелограма дорівнюють 5 см і 4 см. Знайдіть його периметр. Б. 18 см В. 9 см A. 20 см Г. 16 см
2. Тупий кут ромба дорівнює 130º. Знайдіть гострий кут ромба. A. 30° Б. 40° В. 60° Г. 50°
3. Одна зі сторін трикутника дорівнює 8 см, а висота, що проведена до неї, 5 см. Знайдіть площу трикутника. A. 20 см² Б. 10 см² B. 40 см² Г. 13 см² А Б В Г А Б В Г А Б В Г
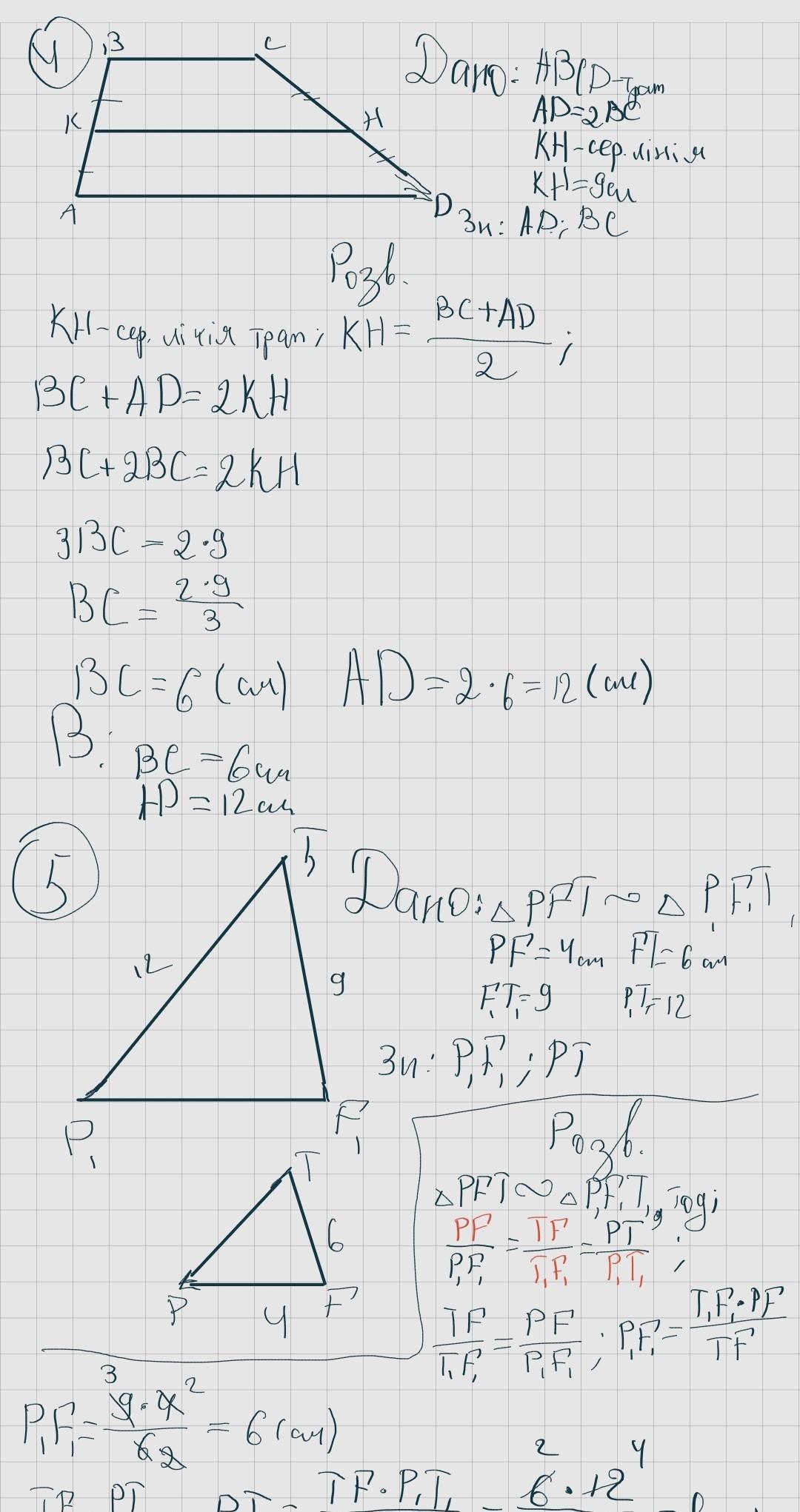
4. Знайдіть основи трапеції, якщо одна з них удвічі більша за іншу, а середня лінія трапеції дорівнює 9 см. Відповідь:
5. LPFT - AP.F.T1, PF = 4 см, FT = 6 см, F1T, = 9 см, Р Т = 12 см. Знайдіть P1F1 i PT. - Відповідь:
6. Катети прямокутного трикутника дорівнюють 4 см і 5 см. Знайдіть довжину медіани три- кутника, що проведена до меншого катета.​

Приложения:

Ответы

Ответ дал: RayGardner
1

Ответ:

1б 2г 3а

Пошаговое объяснение:

У п'ятому завданні червоним відмітила ті значення, що надані за умовою.

Приложения:
Вас заинтересует