• Предмет: Физика
  • Автор: uppikss
  • Вопрос задан 3 года назад

дві кульки розміщені у метиловому спирті

(Е=30) на відстані 10см одна від одної, взаємодіють із силою 0.6нН. Визначте кількість зайвих електронів на кожній з них. СРОЧНО, ДАЮ 40 БАЛЛОВ

Приложения:

Ответы

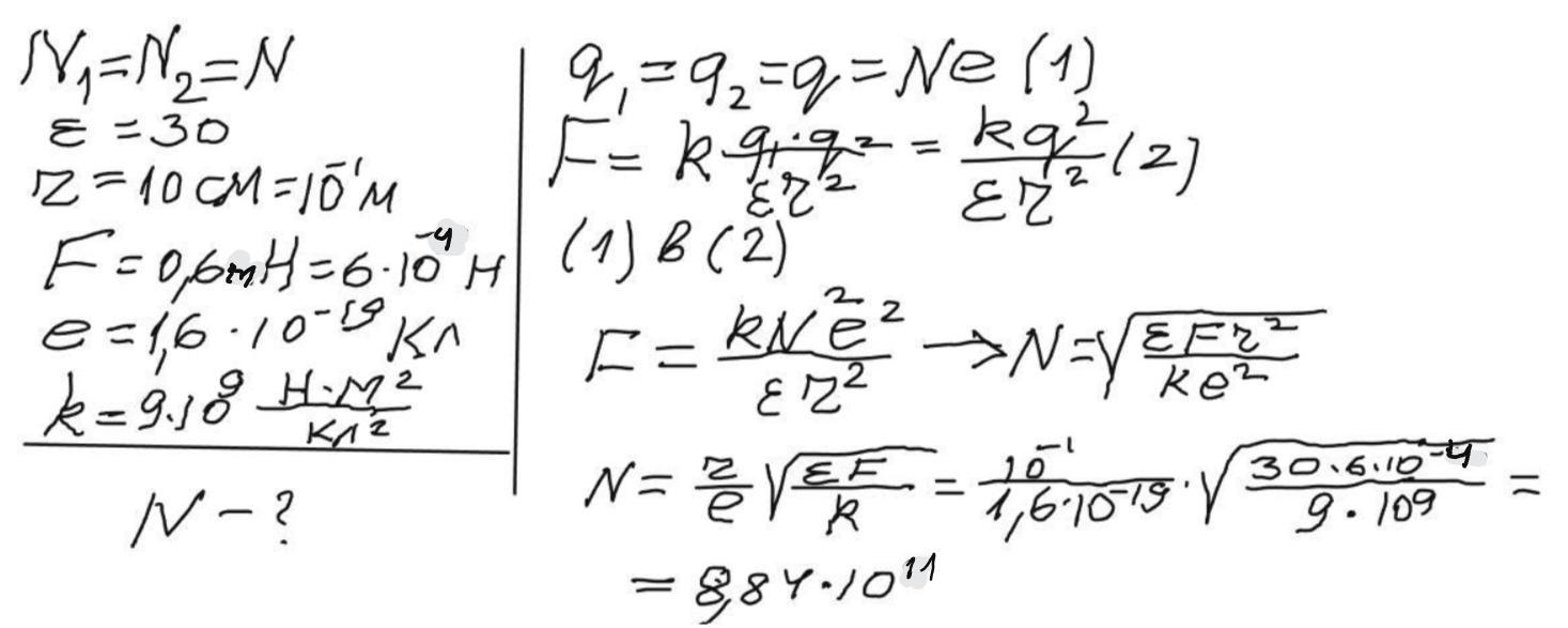
Ответ дал: zybkov1950
7

Відповідь: 8,84·10¹¹

Пояснення: Подано розв'язання задачі "Дві кульки розміщені у метиловому спирті (E = 30) на відстані 10 см одна від одної, взаємодіють із силою 0,6 мН. Визначте кількість "зайвих" електронів на кожній з них."

Приложения:

aitymbetdias: как вучить английский
Аноним: да
Аноним: иди на
Аноним: чл*н
vladtimchenko2011: Решение:

q = Neq=Ne - заряд

q_{1} = q_{2} = Neq
1

=q
2

=Ne

По закону Кулона:

F = \dfrac{kq_{1}q_{2}}{\xi r^{2}} = \dfrac{ke^{2}N^{2}}{\xi r^{2}}F=
ξr
2

kq
1

q
2



=
ξr
2

ke
2
N
2




F\xi r^{2} = ke^{2}N^{2} \Longrightarrow \boldsymbol{ \boxed{ N = \sqrt{\frac{F\xi r^{2}}{ke^{2}} } = \frac{r}{e} \sqrt{ \frac{F\xi}{k} } } }Fξr
2
=ke
2
N
2

N=
ke
2

Fξr
2




=
e
r


k





anastasiakruhmaleva7: помогите мне пожалуйста
aitymbetdias: клмен удален поон
rubkub31: задача на фото пожалуйста помогите мне нужен ответ сегодня вы 12 : 15 по мск ​
https://znanija.com/task/49872530?utm_source=android&utm_medium=share&utm_campaign=question
rubkub31: помогитк
irasinko8: влвдлв
Ответ дал: mathkot
6

Ответ:

Количество "лишних" электронов на каждом шарике равно приблизительно 0,0884 · 10¹³

Примечание:

Считаем, что шарики одинакового заряда и на каждом шарике одинаковое количество "лишних" электронов.

Объяснение:

Дано:

\xi = 30

r = 0,1 м

F = 6 · 10⁻⁴ H

e = 1,6 · 10⁻¹⁹ Кл

k = 9 · 10⁹ (H · м²) / (Кл²)

Найти:

N \ - \ ?

------------------------------------

Решение:

q = Ne - заряд

q_{1} = q_{2} = Ne

По закону Кулона:

F = \dfrac{kq_{1}q_{2}}{\xi r^{2}} = \dfrac{ke^{2}N^{2}}{\xi r^{2}}

F\xi r^{2} = ke^{2}N^{2} \Longrightarrow \boldsymbol{ \boxed{ N = \sqrt{\frac{F\xi r^{2}}{ke^{2}} } = \frac{r}{e}  \sqrt{ \frac{F\xi}{k} }  } }

Расчеты:

N = (0,1 м / 1,6 · 10⁻¹⁹ Кл) · √( (6 · 10⁻⁴ H · 30) / (9 · 10⁹ (H · м²) / (Кл²)) ) \approx

\approx 0,0884 · 10¹³

Ответ: N \approx 0,0884 · 10¹³.


era963: tgg
nadjibullo55: )ааа
anastasiakruhmaleva7: помогите мне пожалуйста
rubkub31: помогите
rubkub31: задача на фото пожалуйста помогите мне нужен ответ сегодня вы 12 : 15 по мск ​
https://znanija.com/task/49872530?utm_source=android&utm_medium=share&utm_campaign=question
Аноним: аппароывгаарюнлнттн
Вас заинтересует