• Предмет: Алгебра
  • Автор: nazmina35
  • Вопрос задан 3 года назад

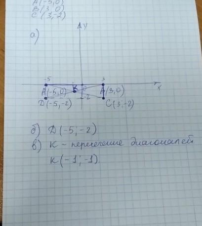
10) A, B, C, D - вершины прямоугольника на координатной плоскости. а) постройте точки А( - 4; -4), B( - 4; 2), C( 5; 2); б) постройте вершину D и найдите еë координаты; в) постройте к-точку пересечения отрезков AC и BD и найдите еë координаты.

Помогите пж:> ​

Ответы

Ответ дал: aviktorovna891
0

Ответ:

сподіваємося допоможемо

Приложения:
Вас заинтересует