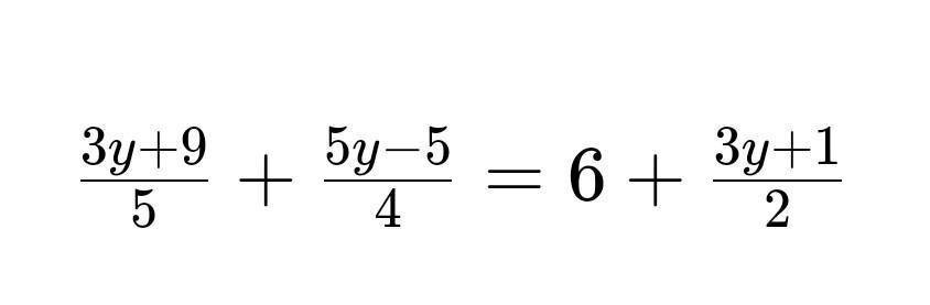
3y + 9/5 + 5y - 5/4 = 6 + 3y + 1/2
Можно расписать решения на тетради. Я посмотрел решение, но там не понятное решение. Я не понял именно последнию часть. 6 + 3y+1/2 на сайте где написано решение там нашли общий знаменатель 20 и 10 но это слишком много.
Приложения:

zoogzoom:
20?
Ответы
Ответ дал:
0
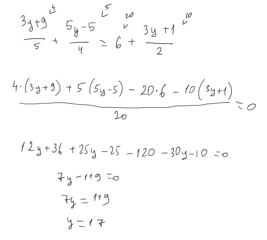
Ответ:
у=17
Объяснение:
Приложения:

Ответ дал:
2
Вот так, 6 это все равно что 6/1
Приложения:

Вас заинтересует
2 года назад
2 года назад
2 года назад
7 лет назад
7 лет назад
9 лет назад