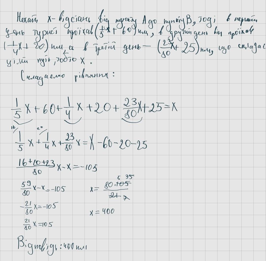
Турист доехал из пункта А в пункт В за 3 дня. В первый день он проехал 1/5 часть всего пути и ещё 60 км, во второй - 1/4 часть пути и ещё 20 км, а в третий день - 23/80 всего пути и оставшиеся 25 км. Найдите расстояние между пунктами А и В.
Ответы
Ответ дал:
1
Ответ:
400км
Объяснение:
рівняння дорівнює х, тя ми склали всі ці частини шляху і отримали цілий шлях - х.
Приложения:

Вас заинтересует
2 года назад
2 года назад
2 года назад
2 года назад
7 лет назад
7 лет назад
9 лет назад