Срочно пожалуйста 50 баллов ❗❗❗❗❗❗❗❗❗❗❗❗❗❗❗❗❗❗ решите пожалуйста способом алгебраического сложения систему Ху=1/8 2х²+2у²=5/8
Ответы
Ответ дал:
1
Ответ:
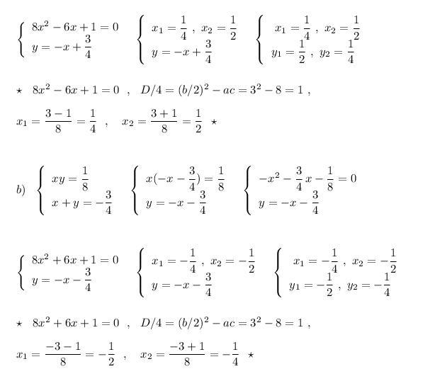
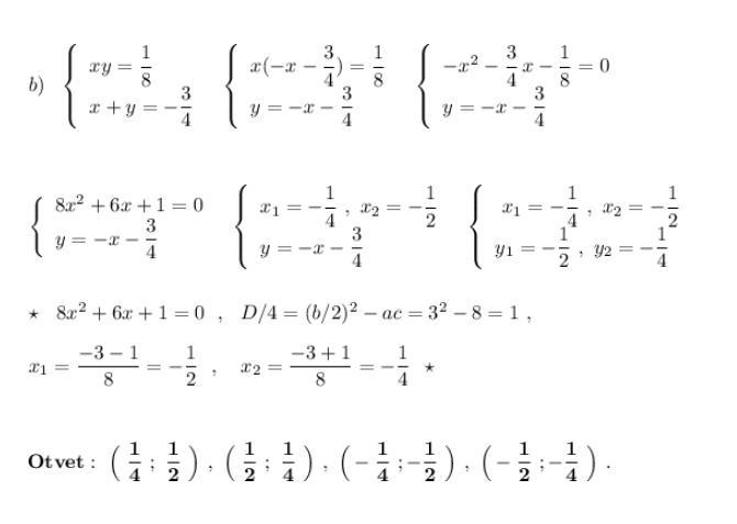
Умножим на 2 первое уравнение и прибавим ко второму уравнению
и применим формулу квадрата суммы: .
Приложения:



NNNLLL54:
сейчас скрин сброшу
Вас заинтересует
2 года назад
2 года назад
2 года назад
7 лет назад
7 лет назад
9 лет назад
9 лет назад