• Предмет: Математика
  • Автор: leronys07
  • Вопрос задан 3 года назад

Допоможіть! Будь ласка! Срочно! Даю 45 балів ​

Приложения:

Ответы

Ответ дал: dobra888
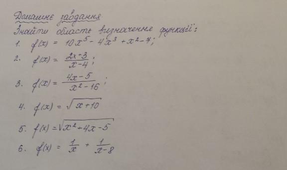
1

Відповідь:

Покрокове пояснення:

   Не вірю , що схожі вправи не виконувалися раніше на заняттях

   і  таких вправ немає розв'язаних у підручнику !?

   1 ) D( f ) = R - множина всіх дійсних чисел ;

   2) D( f ) = R , крім  х = 4 ;

   3) D( f ) = R , крім  х = ± 4 ;

   4) D( f ) = [- 10 ; + ∞ ) ;

   5)  f( x ) = √ ( x² + 4x - 5 ) ; x² + 4x - 5 ≥ 0 ; D = 36 > 0 ;  x₁ = - 5 ; x₂ = 1 ;

       D( f ) = (- ∞ ; - 5] U [ 1 ; + ∞ ) ;

   6) f( x ) = 1/x  +  1/( x - 8 ) ;    D( f ) = R , крім  х = 0  i  x = 8 .

Вас заинтересует