Ответы
Ответ дал:
1
Ответ:
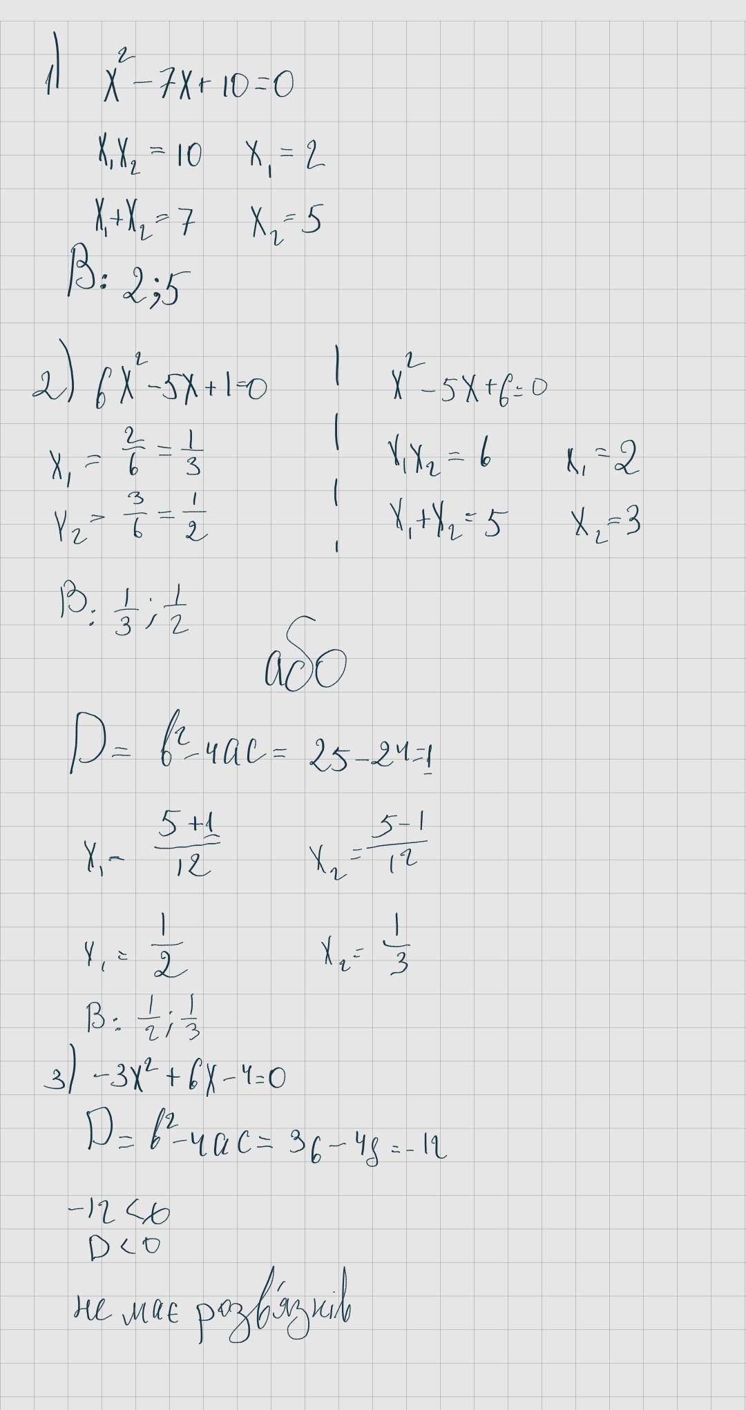
1. 2;5 2. 1/3; 1/2 3. нмр
Пошаговое объяснение:
У другому випадку можна скористатися методом "переброски", но Вам, скорее всего, это не давали и нужно написать через дискриминант(чуть ниже я написала через него)
Приложения:

Вас заинтересует
2 года назад
2 года назад
7 лет назад
9 лет назад