(11 2/5-15:1 2/3)*5/6+1/7 решите по действиям на фото виден пример пожалуйста срочно даю 50балов
Приложения:

Ответы
Ответ дал:
1
Ответ:
2 1/7
Пошаговое объяснение:
Приложения:

anakistanova6:
спосибо
Ответ дал:
0
Ответ:
2 1/7
Пошаговое объяснение:
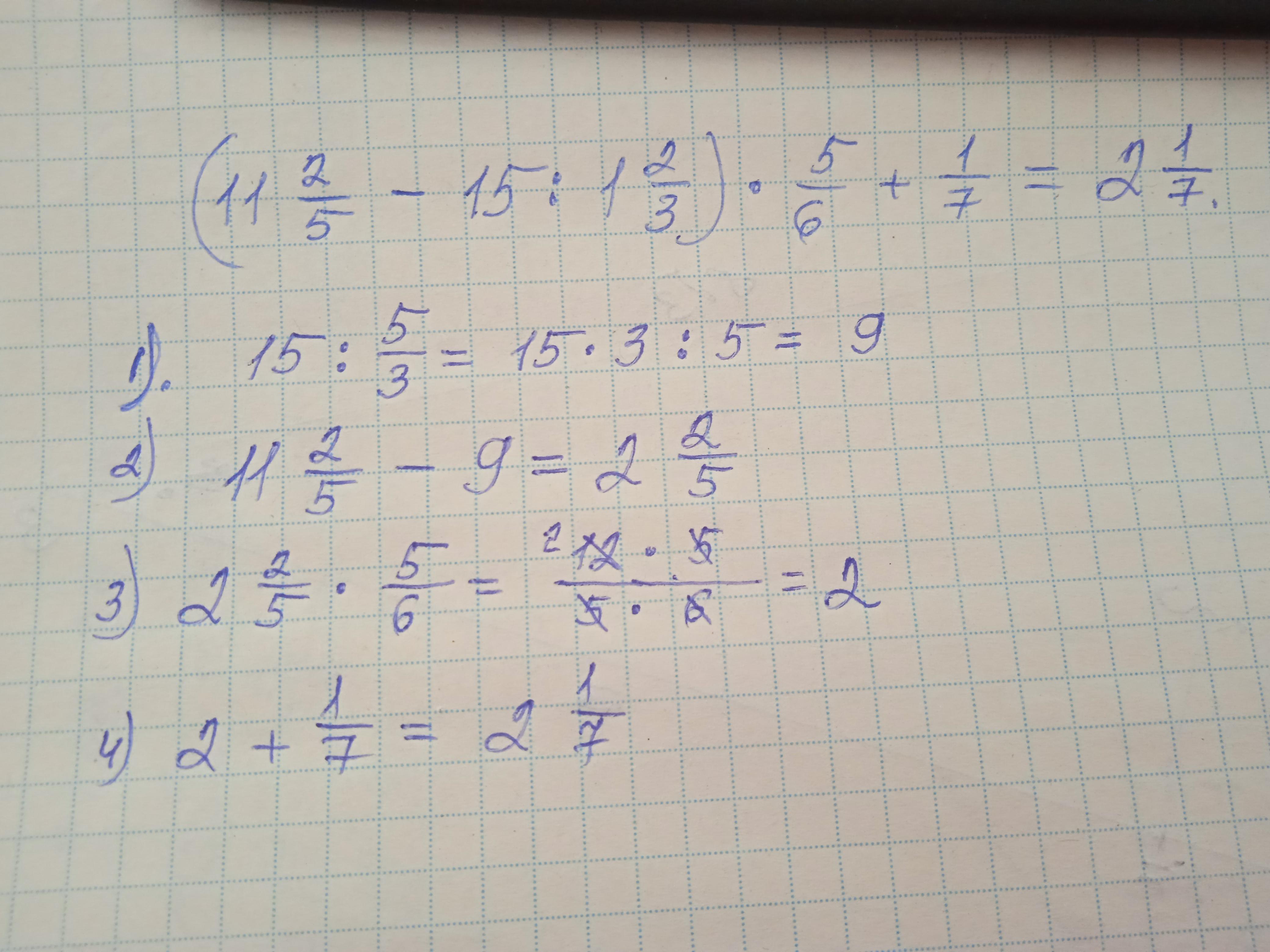
1) 15 : 1 2/3 = 15 : 5/3 = 15 * 3/5 = 45/5 = 9
2) 11 2/5 - 9 = 2 2/5
3) 2 2/5 * 5/6 = 12/5 * 5/6 = 2/1 * 1/1 = 2/1 = 2
4) 2 + 1/7 = 2 1/7
Вас заинтересует
2 года назад
2 года назад
2 года назад
2 года назад
7 лет назад
7 лет назад
9 лет назад