• Предмет: Алгебра
  • Автор: sspefsv
  • Вопрос задан 3 года назад

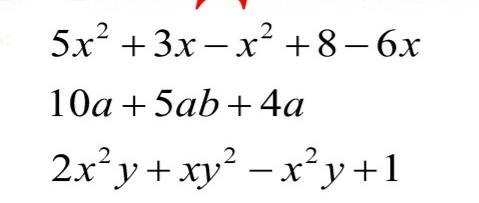
Помогите,алгебра
5x+2+3x-x²+8-6x​

Приложения:

Ответы

Ответ дал: rtnxtr
1

Ответ:

4х²-3х+8

⠀⠀⠀⠀⠀⠀⠀⠀⠀⠀⠀⠀⠀⠀⠀⠀⠀⠀

лучший ответ, пожалуйста


sspefsv: хорошо,но я имел в виду то,что на фото
Вас заинтересует