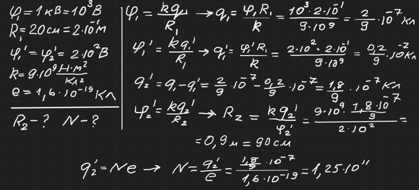
Заряджену до потенціалу 1 кВ кулю радіусом 20 см з’єднали із незарядженою кулею довгим провідником. У результаті потенціал куль виявився рівним 200 В. Знайти радіус кулі, яка була незарядженою. Яка кількість електронів
перейде з однієї кулі на іншу?
Ответы
Ответ дал:
1
Відповідь: 90 см 1,25·10¹¹
Пояснення:
Приложения:

Вас заинтересует
2 года назад
2 года назад
2 года назад
2 года назад
7 лет назад
9 лет назад
9 лет назад