• Предмет: Математика
  • Автор: Dedneznat
  • Вопрос задан 3 года назад

СРОЧНО ПОМОШЬ НУЖНА ПЛИЗ

Приложения:

Ответы

Ответ дал: MuhammadGulu
1

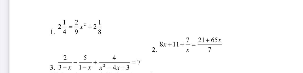
1.  \:  \:  \:  \:  \:  \:  \:  \:  \:  \:  \:  \:  \:  \:  \:  \:  \:  \:  \:  \:  \:  \:  \:  \:  \:  \:  \:  \:  \:  \:  \:  \:  \:  \:  \:  \:  \:  \:  \:  \:  \:  \:  \:  \:  \:  \:  \:  \:  \:  \: \\ 2 \frac{1}{4}  =  \frac{2}{9}  {x}^{2}  + 2 \frac{1}{8}  \\  \frac{9}{4} -  \frac{17}{8}   =  \frac{2}{9}  {x}^{2}  \\  \frac{2}{9 }   {x}^{2} =  \frac{18 - 17}{8}  =  \frac{1}{8}  \\  {x}^{2}  =  \frac{1}{8}  \div  \frac{2}{9}  =  \frac{1}{8}  \times  \frac{9}{2}  =  \frac{9}{16}  \\ x =  \sqrt{ \frac{9}{16} }  = ± \frac{3}{4}

2.  \:  \:  \:  \:  \:  \:  \:  \:  \:  \:  \:  \:  \:  \:  \:  \:  \:  \:  \:  \:  \:  \:  \:  \:  \:  \:  \:  \:  \:  \:  \:  \:  \:  \:  \:  \:  \:  \:  \:  \:  \:  \:  \:  \:  \:  \:  \:  \:  \:  \:  \:  \:  \:  \:  \:  \:  \:  \:  \:  \:  \:  \:  \:  \: \\ 8x + 11 +  \frac{7}{x}  =  \frac{21 + 65x}{7} \\  \frac{ {8x}^{2} + 11x + 7 }{x}  =  \frac{21 + 65x}{7}  \\ 56 {x}^{2}  + 77x + 49 = 21x +  {65x}^{2}  \\  {56x}^{2}  + 77x + 49 - 21x -  {65x}^{2}  = 0 \\  -  {9x}^{2}  + 56x + 49 = 0

Решим через Дискриминант:

D =  {b}^{2}  - 4ac =  {56}^{2}  - 4 \times ( - 9) \times 49 = 3136 + 1764 = 4900

А теперь находим х1 х2

X1X2 =  \frac{ - b± \sqrt{D} }{2a}  =  \frac{ - 56±  \sqrt{4900} }{2 \times ( - 9)}  =  \\  =  \frac{ - 56± 70}{ - 18}  =   - \frac{14}{18}  \: ; \:  \frac{126}{18}  =  \\  -  \frac{7}{9}  \: ; \: 7

3. \:  \:  \:  \:  \:  \:  \:  \:  \:  \:  \:  \:  \:  \:  \:  \:  \:  \:  \:  \:  \:  \:  \:  \:  \:  \:  \:  \:  \:  \:  \:  \:  \:  \:  \:  \:  \:  \:  \:  \:  \:  \:  \:  \:  \:  \:  \:  \:  \:  \:  \:  \:  \:  \:  \:  \:  \:  \:  \:  \:  \:  \:  \:  \:  \:  \:  \:  \:  \:  \:  \:  \:  \:  \:  \:  \:  \:  \\  \frac{2}{3 - x}  -  \frac{5}{1 - x}  +  \frac{4}{ {x}^{2}  - 4x + 3}  = 7 \\   - \frac{2}{x - 3}  +  \frac{5}{x - 1}  +  \frac{4}{(x - 1)(x - 3)}  = 7 \\  \frac{ - 2x + 6 + 5x - 15 + 4}{(x - 1)(x - 3)}  = 7 \\  - 2x + 6 + 5x - 15 + 4 =  {7x}^{2}  - 28x + 21 \\ 3x - 5 =  {7x}^{2}  - 28x + 21 \\  -  {7x}^{2}  - 28x + 21 + 3x - 5 = 0 \\  -  {7x}^{2}  - 25x + 17 = 0 \\

Решим через Дискриминант:

D =  {b}^{2}  - 4ac =  {( - 25)}^{2}  - 4 \times( -  7 )\times 17 = 625 - 476 = 149

x1x2 =  \frac{ - b± \sqrt{D} }{2a}  =  \frac{ - ( - 25)±  \sqrt{149} }{2 \times ( - 7)}  =  \\  =  \frac{25 +  \sqrt{149} }{ - 7} \:  ; \:  \frac{25 -  \sqrt{149} }{ - 7}


Dedneznat: что в 3 примере что-то там не так
Ответ дал: iramazurk
2

Пошаговое объяснение:

1

2 1/4 = 2/9х² + 2 1/8

9/4 = 2/9х² + 17/8 | * 72

(72*9)/4 = (72*2)/9х² + (72*17)/8

648/4 = 144/9х² + 1224/8

162 = 16х² + 153

-16х² = 153 - 162

-16х² = -9

х² = -9 : (-16)

х² = 9/16

х1 = -3/4

х2 = 3/4

Ответ: -3/4; 3/4

2

8х + 11 + 7/х = (21 + 65х)/7 ОДЗ х 0

8х + 11 + 7/х - (21 + 65х)/7 = 0

(56х² + 77х + 49 - х*(21+65х) )/7х = 0

(56х² + 77х + 49 - 21х - 65х²)/7х = 0

(-9х² + 56х + 49)/7х = 0

-9х² + 56х + 49 = 0 | * -1

9х² - 56х - 49 = 0

а = 9; в = -56; с = -49

Д = в² - 4ас

Д = (-56)² - 4 * 9 * (-49) = 3136 + 1764 = 4900

Д = 4900 = 70

х1 = (- Д)/2а

х1 = (56 - 70)/2*9 = -14/18 = -7/9

х2 = (+ Д)/2а

х2 = (56 + 70)/2*9 = 126/18 = 7

Ответ: -7/9; 7

3

Решение в прикреплённом файле

Приложения:

Dedneznat: а почему 3 пример не сделал?
Вас заинтересует