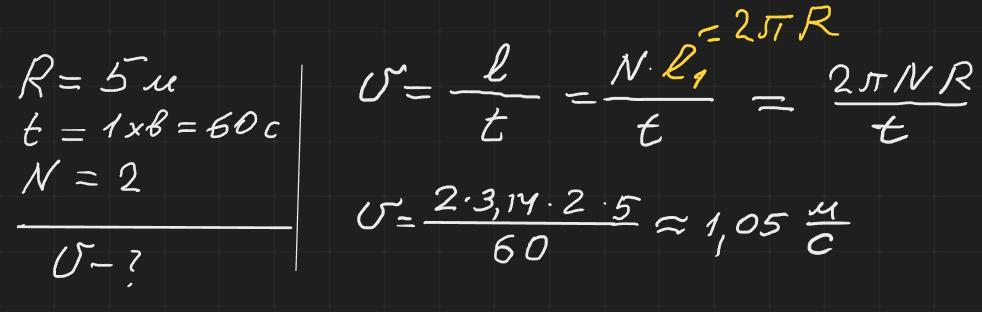
Кінь рухається рівномірно на манежі цирку радіусом 5 м. За 1 хв він встигає пробігти манеж 2 рази. Яка швидкість руху коня?
Ответы
Ответ дал:
2
Відповідь: ≈ 1,05 м/с
Пояснення:
Приложения:

Ответ дал:
1
Ответ:
≈ 1, 05 м/с
Объяснение:
объяснение есть на фото
Приложения:

Вас заинтересует
2 года назад
2 года назад
2 года назад
7 лет назад
7 лет назад
9 лет назад