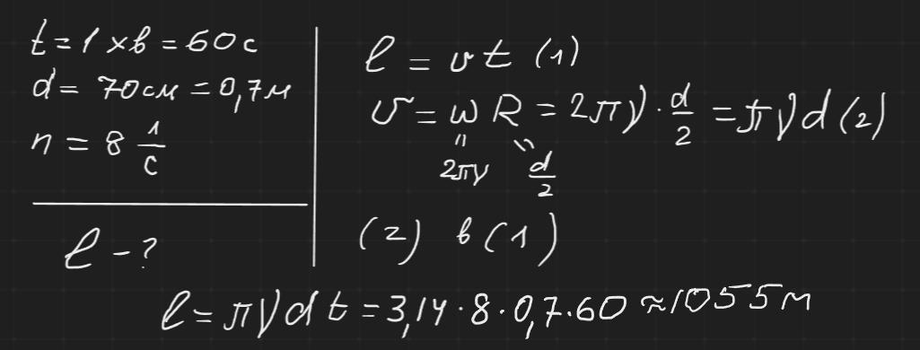
Яку відстань пройде велосипедист за 1 хвилину, якщо діаметр коліс велосипеда 70 см, а частота їх обертів 8 1/с? Будь ласка!!! Мені на час. ДАЮ 100
Ответы
Ответ дал:
2
Відповідь: ≈ 1055 м
Пояснення:
Приложения:

Вас заинтересует
2 года назад
2 года назад
7 лет назад
9 лет назад