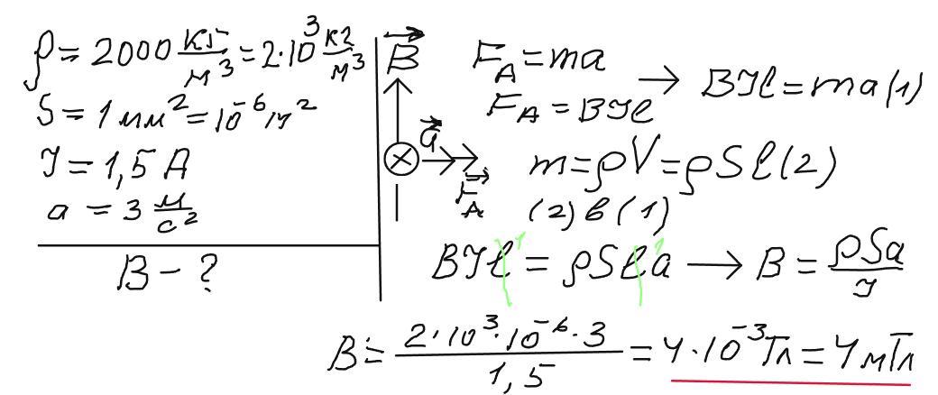
У вертикальному однорідному магнітному полі на гладенькій горизонтальній поверхні перебуває циліндричний провідник, густина матеріалу якого 2000 кг/м3, а площа поперечного перерізу 1 мм2. Після того як по провіднику пропустили струм силою 1,5 А, він починає рухатися з прискоренням 3 м/с2. Якою є магнітна індукція поля?
Ответы
Ответ дал:
1
Відповідь: 4 мТл
Пояснення:
Приложения:

Вас заинтересует
2 года назад
2 года назад
2 года назад
7 лет назад
7 лет назад