• Предмет: Математика
  • Автор: zbswqzg6sf
  • Вопрос задан 3 года назад

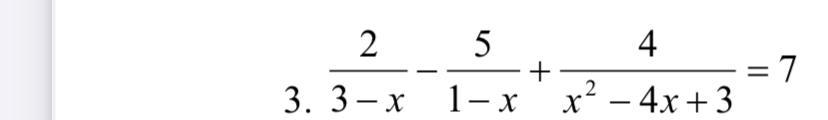
Срочно надо помощь ,помогите плизз

Приложения:

milanaandreva: Ответ: x=10/7

Ответы

Ответ дал: cor1eone
1

Доброго времени суток. Решение во вложении

Приложения:

zbswqzg6sf: Спасибо
Вас заинтересует