• Предмет: Алгебра
  • Автор: nika9057q
  • Вопрос задан 3 года назад

ПОМОГИТЕ!

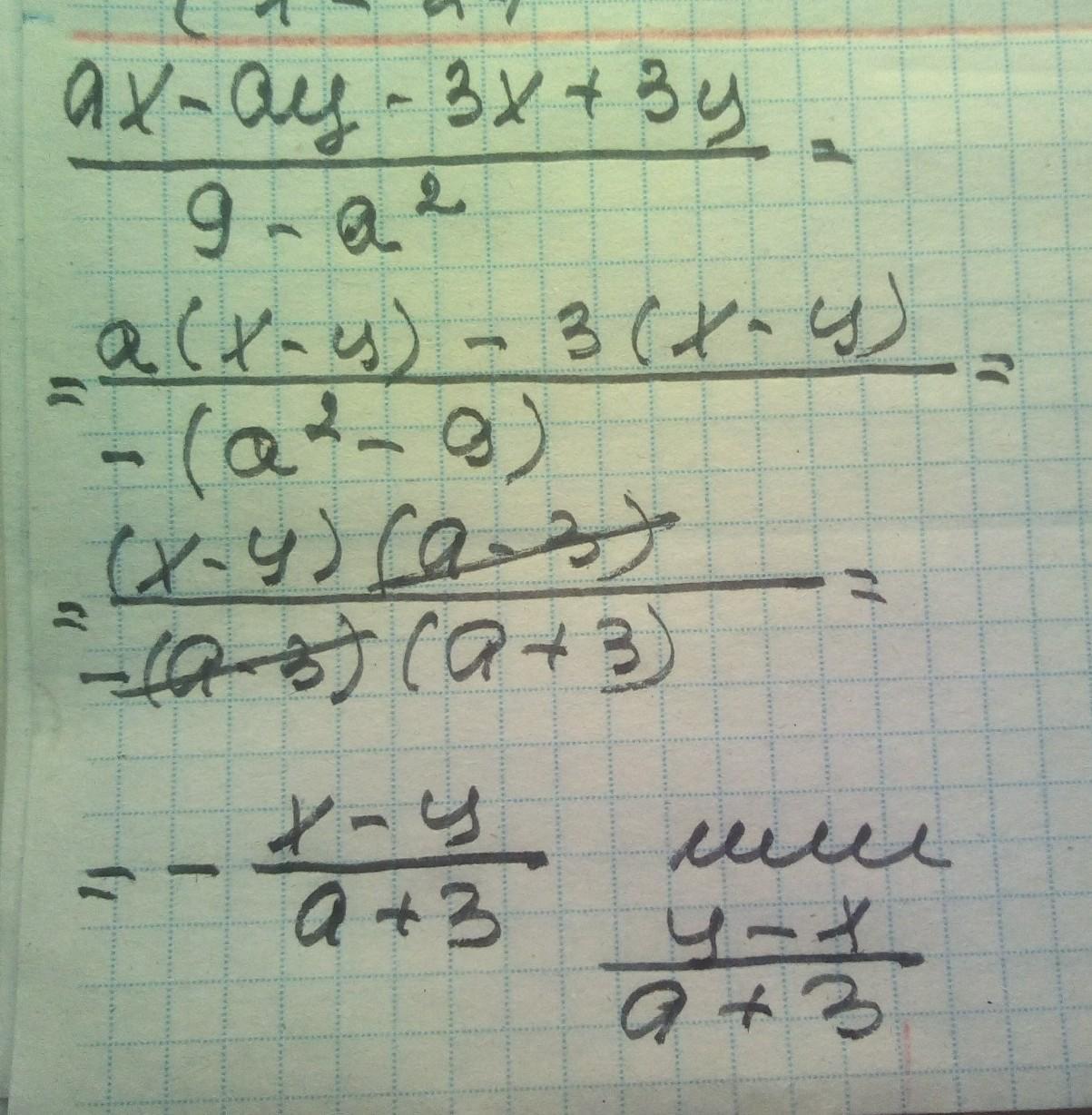
Скоротіть дріб

ax-ay-3x+3y
——————
9-а²​

Ответы

Ответ дал: manyny06
1

Ответ:

решение смотри на фотографии

Приложения:
Вас заинтересует