• Предмет: Алгебра
  • Автор: 1234563434343
  • Вопрос задан 3 года назад

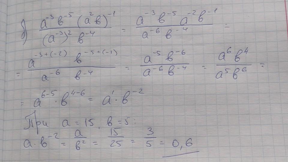
50 баллов Найдите значение выражения

Приложения:

Ответы

Ответ дал: cor1eone
0

Решение во вложении. Приятной учёбы

Приложения:
Вас заинтересует