• Предмет: Математика
  • Автор: queenvibes01
  • Вопрос задан 3 года назад

Розкладіть на множники ( 9 класс) :
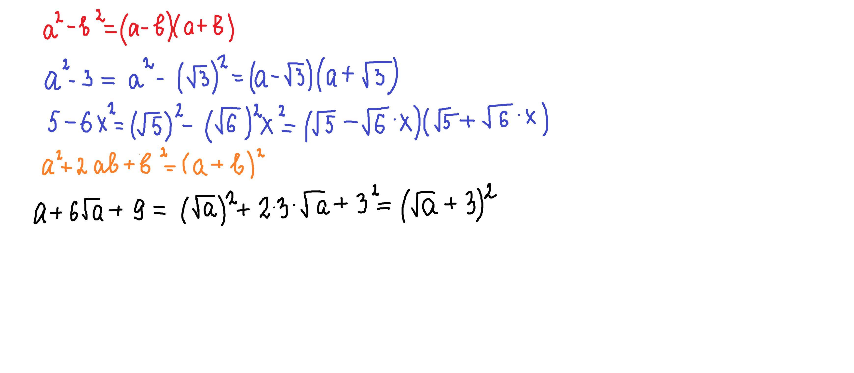
a²-3,
5-6x²,
a+6√a+9,
Дам найвищий бал​

Ответы

Ответ дал: Аноним
1

Ответ:

(a-√3)(a+√3)

(√5-x√6)(√5+x√6)

(√a+3)²

Пошаговое объяснение:

a²-3=a²-(√3)²=(a-√3)(a+√3)

5-6x²=(√5)²-(x√6)²=(√5-x√6)(√5+x√6)

a+6√a+9=(√a)²+6√a+3²=(√a+3)²

Ответ дал: parus77
1

Ответ:

Пошаговое объяснение:

применяем формулы сокращенного умножения

решение и формулы внизу

Приложения:
Вас заинтересует