• Предмет: Алгебра
  • Автор: slataevasana
  • Вопрос задан 3 года назад

Помогите решить эту задачу даю 50 балов

Приложения:

Ответы

Ответ дал: MuhammadGulu
1

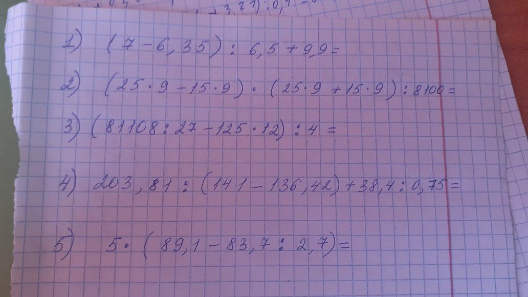
1)

(7 - 6.35) \div 6.5 + 9.9 = 0.65 \div 6.5 + 9.9 =  \frac{65}{100}  \div  \frac{65}{10}  +  \frac{99}{10}  =  \frac{65}{100}  \times  \frac{10}{65}  +  \frac{99}{10}  =  \frac{1}{10}  +  \frac{99}{10}  =  \frac{100}{10}  = 10

2)

(25 \times 9 - 15 \times 9) \times (25 \times 9 + 15 \times 9) \div 8100 = (9(25 - 15)) \times (9(25 + 15)) \div 8100 = (9 \times 10) \times (9 \times 40) \div 8100 = 90 \times 3600 \div 8100 = 40

3)

(81108 \div 27 - 125 \times 12) \div 4 = (3004 - 1500) \div 4 = 1504 \div 4 = 376

4) \\

203.81 \div (141 - 136.42) + 38.4 \div 0.75 =  203.81 \div 4.58 + 51.2 = 44.5 + 51.2 = 95.7

5)

5 \times (89.1 - 83.7 \div 2.7) = 5 \times 89.1 - 31) = 5 \times 58.1 = 290.5


slataevasana: Большое спасибо
MuhammadGulu: Пожалуйста )))
Ответ дал: pollyamolly
1

1) (7-6,35)+6,5+9,9 = 10
  пояснение:
0,65/6,5+9,9
0,1+9,9=10
2)(25*9-15*9)*(25*9+15*9)/8100  = 4
пояснение:
умножить числа - (225-15*9)*(25*9+15*9)/8100
(225-135)*(225+135)/8100
90*360/8100
32400/8100=4
3)(81108/27-125*12)/4
пояснение:
разделить числа - (3004-125*12)/4
умножить числа- (3004-1500)/4
вычитаем числа- 1504/4
ответ: 376
4)203,81/(141-136,42)+38,4/0,75 = 95,7 ( 95 7/10)
пояснение:
вычитаем числа - 203,81/4,58+38,4/0,75
разделим числа - 203,81/4,58+51,2
разделим числа- 44,5+51,2=95,7
5)
5*(89,1-83,7/2,7)=290,5
пояснение:
разделим числа- 5(89,1-31)
вычтем числа - 5*58,1= 290,5



slataevasana: Большое спасибо
pollyamolly: всегда пожалуйста)
Вас заинтересует