• Предмет: Математика
  • Автор: oksanapopchuk20
  • Вопрос задан 3 года назад

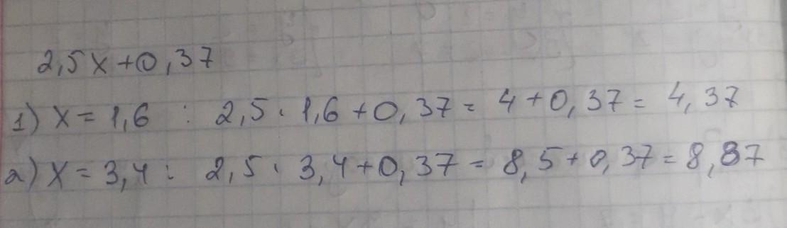
1641. Обчисли 2,5х + 0,37, якщо: 1) x = 1,6; 2) x = 3,4.​

Ответы

Ответ дал: cor1eone
0

Доброго времени суток. Решение во вложении

Приложения:
Ответ дал: popovmiha2010
0

Ответ:

первый 4,38:6,27 второй

Вас заинтересует