Дам 100 баллов На яку частину треба зменшити дліну мат маятника щоб його період зменшився в три рази
Ответы
Ответ дал:
0
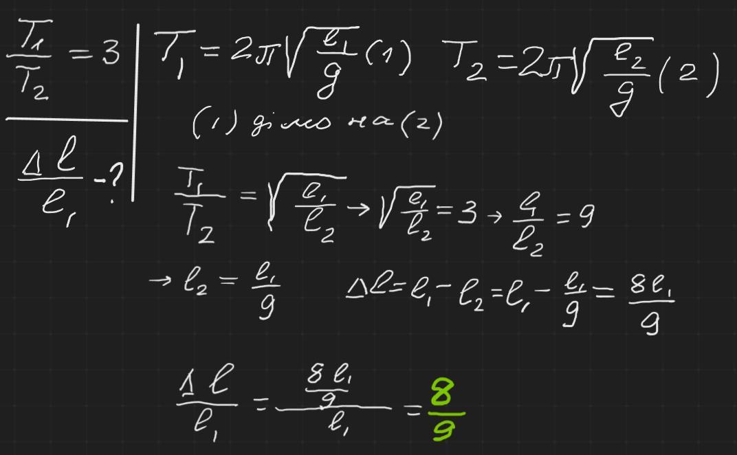
Відповідь: на 8/9
Пояснення:
Приложения:

nikmur2526:
1/3
Вас заинтересует
2 года назад
2 года назад
2 года назад
7 лет назад
7 лет назад
9 лет назад
9 лет назад