• Предмет: Физика
  • Автор: vladman96
  • Вопрос задан 11 лет назад

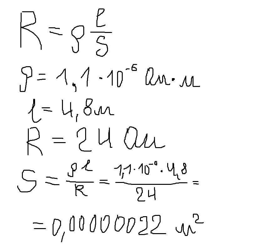
Нихромовый провод сопротивлением 24 Ом имеет длину 4,8 м. Найдите площадь поперечного сечения провода

Ответы

Ответ дал: Юлe4ка
0

все решение задачи во вложении))))

Приложения:
Вас заинтересует