• Предмет: Математика
  • Автор: illyamakarov73
  • Вопрос задан 3 года назад

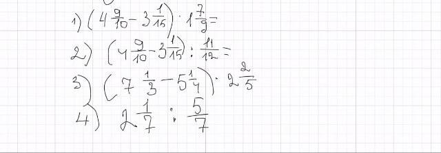
Помогите пожалуйста! Даю 65, СПАМ =бан​

Приложения:

Ответы

Ответ дал: wwrai
1

Ответ:

прога: "дроби" .............

Приложения:

illyamakarov73: спасибо
Вас заинтересует