• Предмет: Алгебра
  • Автор: kagitinadiana
  • Вопрос задан 3 года назад

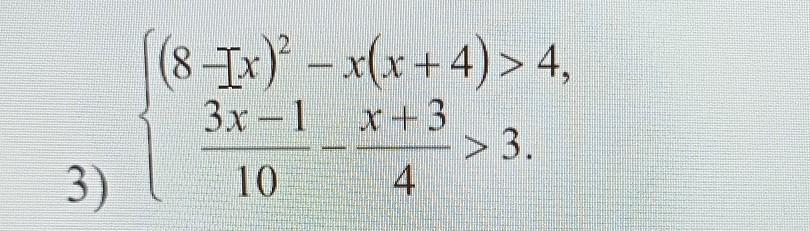
Розв'язати систему рівнянь ​

Приложения:

Ответы

Ответ дал: manyny06
1

Ответ:

решение смотри на фотографии

Приложения:
Вас заинтересует