• Предмет: Математика
  • Автор: ВикториО
  • Вопрос задан 11 лет назад

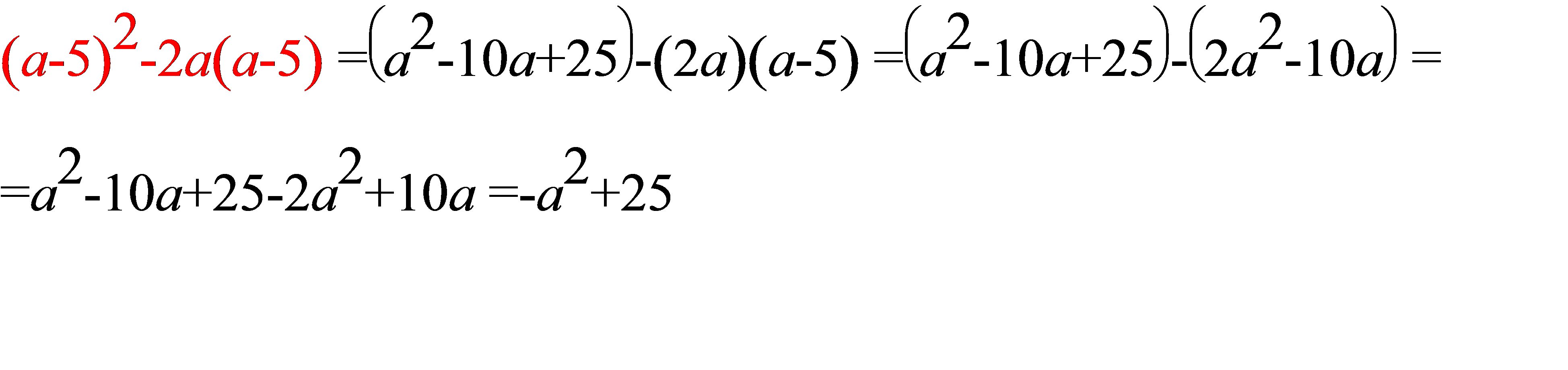
упростите выражение (a-5)^2-2a(a-5)

Ответы

Ответ дал: triolana
0

файл

=========================== 

Приложения:
Ответ дал: юсб
0

а^2-2a5+5^2-2a^2+10a=a^2-2a5+5^2-2a^2+10a=a^2+25-2a^2.

 

т.к. +10а   и -10а противоположные мы их сократили

Приложения:
Вас заинтересует