• Предмет: Алгебра
  • Автор: tanakrejsa
  • Вопрос задан 3 года назад

Прошу пожалуйста помогитееееееее хотя бы некоторые!!!!! Подайте вираз у вигляді степеня та обчисліть його значення:​

Приложения:

Ответы

Ответ дал: iramazurk
0

Объяснение:

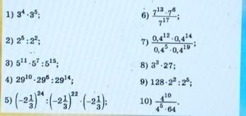
1) 3⁴ * 3⁵ = 3⁴+⁵ = 3⁹ = 19683

2) 2⁵ : 2² = 2⁵-² = 2³ = 8

3) 5¹¹ * 5⁷ : 5¹⁵ = 5¹¹+⁷-¹⁵ = 5³ = 125

4) 29¹⁰ * 29⁵ : 29¹⁴ = 29¹⁰+⁵-¹⁴ = 29¹ = 29

6) (7¹³ * 7⁶)/7¹⁷ = 7¹⁹/7¹⁷= 7² = 49

7) (0,4¹² * 0,4¹⁴)/(0,4⁵ * 0,4¹⁹) = 0,4²⁶/0,4²⁴ = 0,4² = 0,16

8) 3³ * 27 = 3³ * 3³ = 3⁶ = 729

9) 128 * 2² : 2⁵ = 2⁷ * 2² : 2⁵= 2⁷+²-⁵ = 2⁴ = 16

10) 4¹⁰/(4⁵ * 64) = 4¹⁰/(4⁵ * 4³) = 4¹⁰/4⁸ = 4² = 16

Вас заинтересует