• Предмет: Алгебра
  • Автор: vzvzivzvz
  • Вопрос задан 3 года назад

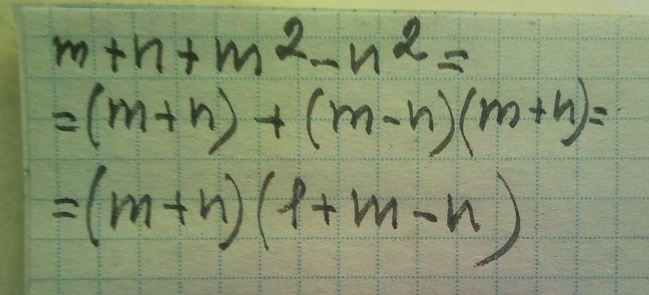
Разложите многочлен m + n + m² -n² на множители.​

Ответы

Ответ дал: manyny06
1

Объяснение:

решение смотри на фотографии

Приложения:
Вас заинтересует