• Предмет: Алгебра
  • Автор: testdaj7
  • Вопрос задан 3 года назад

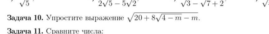
привет,мои булочки с корицей,упростите выражение пожалуйста.Задача 10 ​

Приложения:

Ответы

Ответ дал: alena6249
1

должно быть правильно

Объяснение:

должно быть правильно

Приложения:
Ответ дал: dladonat07
0

Ответ:

√20+8√4-m-m

2√5+2√4-m-m

2√5+2√4-2m

Вас заинтересует