• Предмет: Математика
  • Автор: tomkavolodimirivna
  • Вопрос задан 3 года назад

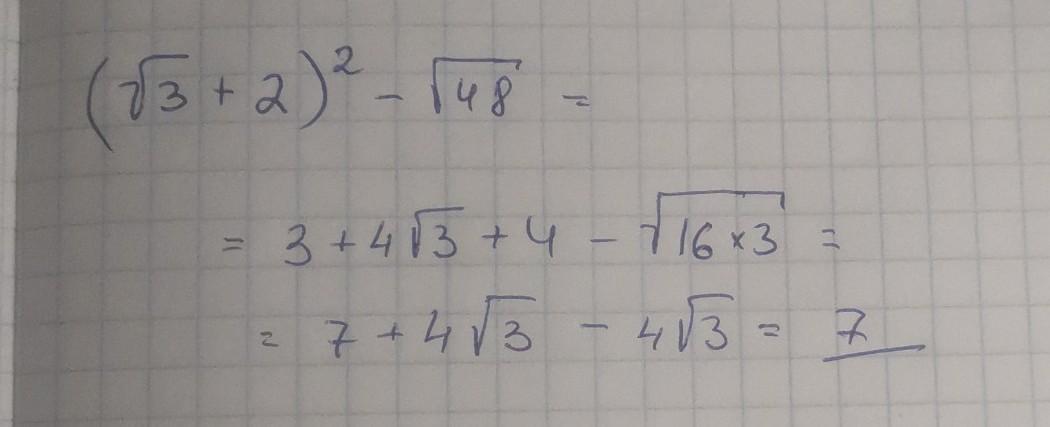
Спростіть вираз(√3+2)² - √48. ​

Ответы

Ответ дал: cor1eone
1

Доброго времени суток. Решение во вложении

Приложения:

tomkavolodimirivna: спс бро
Вас заинтересует