• Предмет: Алгебра
  • Автор: tursynbajzania8
  • Вопрос задан 3 года назад

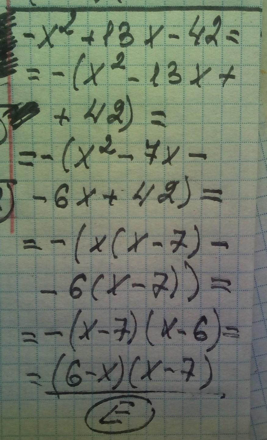
1.5. Разложите квадратный трехчлен на множители: -х2+ 13x-42=0 A) (x-6)(x-7) B) (x+6)(x-7) C) (x-6)(x+7) D)(x+6)(x+7) E)(6-x)(x-7)​

Ответы

Ответ дал: manyny06
4

Ответ:

решение смотри на фотографии

Приложения:
Вас заинтересует