Ответы
                                            Ответ дал: 
                                                                                    
                                        
                                            
                                                
                                                
                                                
                                                    1
                                                
                                            
                                        
                                    Ответ:
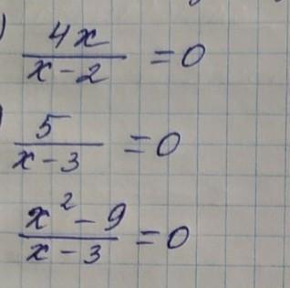
1) 0
2) ∅
3) -3
Объяснение:
Дробь равна нулю, когда числитель равен нулю, а знаменатель не равен нулю!
1) 4x/(x-2)=0 ОДЗ: x-2≠0 ⇒ x≠2
4x=0
x=0
2) 5/(x-3)=0
5≠0 ⇒ корней нет (можно записать вот таким значком ∅)
3) (x²-9)/(x-3)=0 ОДЗ: x-3≠0 ⇒ x≠3
x²-9=0
x²=9
x=-3 или x=3 - не подходит под ОДЗ
                    klyzenkokirill66:
                    спасибо болишое!
                
            Вас заинтересует
                
                        2 года назад
                    
                
                        2 года назад
                    
                
                        2 года назад
                    
                
                        7 лет назад
                    
                