• Предмет: Алгебра
  • Автор: Skrepo4kin
  • Вопрос задан 3 года назад

Системи рівнянь, способом додавання
Срочно!!!

Приложения:

Ответы

Ответ дал: kamilmatematik100504
2

Ответ:

№1

Ответ : (  3  ; 1 )

№4

Ответ : ( 2 ;  - 1)

Объяснение:

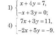
№1

\oplus\left \{ \begin{array}{l} x + 4y = 7  \\\\ \underline{-x + 3y =0}  \end{array} \right. \\\\ ~\hspace{2em} 3y + 4y  = 7  \\\\   ~\hspace{2em}  7y =  7  \\\\ ~\hspace{2em}  y = 1 ~ ,  ~ x =  3y =  3

Ответ : (  3  ; 1 )

                                                         

 

№4

\ominus\left \{ \begin{array}{l} 7x + 3y = 11 ~ \big | \cdot 5 \\\\-2x + 5y =-9  ~ \big |\cdot 3 \end{array} \right.   \Leftrightarrow \ominus\left \{ \begin{array}{l} 35x + 15y = 55 \\\\-6x + 15y =-27   \end{array} \right.   \Leftrightarrow

35x  - (-6x)+ 15y - 15y = 55 -(-27) \\\\ 41x = 82 \\\\ x= 2 ~~,  ~~ y = (-9+4) : 5 = -1

Ответ : ( 2 ;  - 1)


Skrepo4kin: Очень Вам благодарен за такое подробное объяснение!
kamilmatematik100504: Пожалуйста)
Вас заинтересует