• Предмет: Алгебра
  • Автор: emilbekovzanybek4
  • Вопрос задан 3 года назад

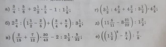
помогите пжпжпжпжппжпж​

Приложения:

Ответы

Ответ дал: aibolatdina9
0

вот надеюсь что всё понятно

Приложения:
Вас заинтересует